Date: 25.12.2025 - 03:03
For emergency calls: 0090 312 427 10 32 / 0090 534 456 94 98 (Mobile)
Date: 25.12.2025 - 05:33
For emergency calls:
0090 312 427 10 32 / 0090 534 456 94 98 (Mobile)
Sri Lanka Embassy Ankara
  • Home Page
  • News
    • Mission News
    • Mission Newsletters
    • Sri Lanka News
  • About Us
    • The Embassy
    • Ambassador
    • Mission Staff
    • Honorary Consuls
    • Public Holidays
  • Country Profile
    • President of Sri Lanka
    • Prime Minister of Sri Lanka
    • Minister of Foreign Affairs
    • National Symbols of Sri Lanka
      • Sri Lanka Emblem
      • National Anthem
      • National Flag
      • National Tree
      • National Flower
      • National Bird
    • Economy
    • History
    • General Information
  • Consular & Visa
    • Job Order Authentication Procedure
    • Issuance of a New Passport
      • General information
      • Issuance of a New Passports in lieu of a Current / Expired Passport
      • Issuance of New Passports to Children Under 16 Years
      • Issuance of New Passports for Newly Born Children
      • Issuance of New Passports in Lieu of Lost / Damage / Stolen Passports
      • Issuance of Temporary/Emergency Passports
      • Amendments, Inclusion and Deletion of Endorsements of Passport
    • Registration of Birth Out Side of Sri Lanka
    • Registration of Marriages
      • Legal Requirements for Registrations of Marriages in Mission
      • Getting Married in Sri Lanka (For Foreign Nationals)
    • Registration of Deaths
    • Legalization, Authentication & Attestation of Documents
    • Visa
      • Issuance of Visa
      • Journalist Visa
      • Residence / Work Visa
      • Visa Overstay Penalty
    • Appointment For Consular Matters
  • Bilateral Relations
    • Turkiye
    • Ukraine
    • Georgia
  • Trade / Tourism & Investment
    • Trade
      • Sri Lanka-Turkey Trade Relations
      • Sri Lanka -Georgia Trade Relations
      • Sri Lanka -Ukraine Trade Relations
    • Tourism
      • Tourism in Sri Lanka
      • Sri Lanka Tourism Map
    • Investments
      • Investment Opportunities in Sri Lanka
      • Why Sri Lanka
      • Investment Guide
    • Appointment to Meet Trade Officer
  • Culture
    • Food
    • Festivals
    • Arts
  • Register with Embassy
    • Sri Lankan living in Turkiye
    • Sri Lankan living in Ukraine
    • Sri Lankan living in Georgia
  • Contact Us
    • Embassy
    • Honorary Consuls
      • Turkey
      • Ukraine
      • Georgia

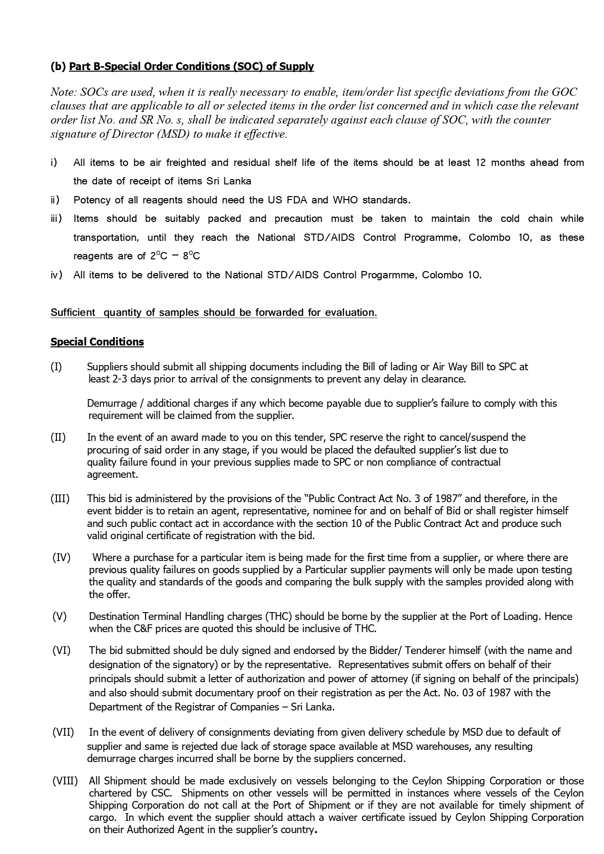
Procurement Notice - State Pharmaceuticals Corporation of Sri Lanka ( Bid Number – DHSLWW11425)

News / Sri Lanka News

Procurement Notice - State Pharmaceuticals Corporation of Sri Lanka ( Bid Number – DHSLWW11425)

  • 16.12.2025 - 16:22

Procurement Notice - State Pharmaceuticals Corporation of Sri Lanka ( Bid Number – DHSLWW11425)

Read for more information


Invitation of Quotations – SriLankan Airlines Ltd Invitation of Quotations for Procurement of Blankets for Economy Class Service

Invitation of Quotations – SriLankan Airlines Ltd Invitation of Quotations for Procurement of Blankets for Economy Class Service

SriLankan Catering Ltd Inviting Bids for Professional Audit and Assurance Services for the Five-Year Business Plan for Establishing an Inflight Catering Operation in Melbourne

SriLankan Catering Ltd Inviting Bids for Professional Audit and Assurance Services for the Five-Year Business Plan for Establishing an Inflight Catering Operation in Melbourne

Extension of Bid Submission – Department for Registration of Persons Procurement of Fifteen Million Pre-Printed Polycarbonate Cards for the Issuance of National Identity Cards IFB No.: DRP/ACC/07/33/2025

Extension of Bid Submission – Department for Registration of Persons Procurement of Fifteen Million Pre-Printed Polycarbonate Cards for the Issuance of National Identity Cards IFB No.: DRP/ACC/07/33/2025

    • Invitation of Quotations – SriLankan Airlines Ltd Invitation of Quotations for Procurement of Blankets for Economy Class Service
      Invitation of Quotations – SriLankan Airlines Ltd Invitation of Quotations for Procurement of Blankets for Economy Class Service
    • SriLankan Catering Ltd Inviting Bids for Professional Audit and Assurance Services for the Five-Year Business Plan for Establishing an Inflight Catering Operation in Melbourne
      SriLankan Catering Ltd Inviting Bids for Professional Audit and Assurance Services for the Five-Year Business Plan for Establishing an Inflight Catering Operation in Melbourne
    • Extension of Bid Submission – Department for Registration of Persons Procurement of Fifteen Million Pre-Printed Polycarbonate Cards for the Issuance of National Identity Cards IFB No.: DRP/ACC/07/33/2025
      Extension of Bid Submission – Department for Registration of Persons Procurement of Fifteen Million Pre-Printed Polycarbonate Cards for the Issuance of National Identity Cards IFB No.: DRP/ACC/07/33/2025
    • RACE IN PARADISE – IRONMAN 70.3 COLOMBO
      RACE IN PARADISE – IRONMAN 70.3 COLOMBO
    • Request for Proposals (RFP) - Urban Development Authority Investment Opportunities in the Real Estate Development Projects of the Urban Development Authority
      Request for Proposals (RFP) - Urban Development Authority Investment Opportunities in the Real Estate Development Projects of the Urban Development Authority
    • Invitation for Bids (IFB) – SriLankan Catering Ltd Supply of Milk Powder Bulk/Butter 10G Premium/Butter Unsalted Bulk Premium for 1 Year (15th of February 2026 – 14th of February 2027
      Invitation for Bids (IFB) – SriLankan Catering Ltd Supply of Milk Powder Bulk/Butter 10G Premium/Butter Unsalted Bulk Premium for 1 Year (15th of February 2026 – 14th of February 2027
    • Procurement Notice - State Pharmaceuticals Corporation of Sri Lanka
      Procurement Notice - State Pharmaceuticals Corporation of Sri Lanka
    • Invitation for Bids (IFB) – Sri Lanka Ports Authority Procurement of 7 Nos. Electric Rubber Tyred Gantry (ERTG) Cranes for the SLPA of Port of Colombo
      Invitation for Bids (IFB) – Sri Lanka Ports Authority Procurement of 7 Nos. Electric Rubber Tyred Gantry (ERTG) Cranes for the SLPA of Port of Colombo
    • Invitation for Tenders (IFT) - Sri Lanka Land Development Corporation
      Invitation for Tenders (IFT) - Sri Lanka Land Development Corporation
    • Procurement Notice - State Pharmaceuticals Corporation of Sri Lanka (Bid Number – DHSCSSWW0325)
      Procurement Notice - State Pharmaceuticals Corporation of Sri Lanka (Bid Number – DHSCSSWW0325)
    • Extension of Bid Submission – Department for Registration of Persons Procurement of Fifteen Million Pre-Printed Polycarbonate Cards for the Issuance of National Identity Cards
      Extension of Bid Submission – Department for Registration of Persons Procurement of Fifteen Million Pre-Printed Polycarbonate Cards for the Issuance of National Identity Cards
    • Procurement Notice - State Pharmaceuticals Corporation of Sri Lanka
      Procurement Notice - State Pharmaceuticals Corporation of Sri Lanka
    • Procurement Notice - SriLankan Airlines Ltd
      Procurement Notice - SriLankan Airlines Ltd
    • Sri Lanka Tea Board Affirms Rapid Stabilization of Ceylon Tea Industry Post-Cyclone Ditwa
      Sri Lanka Tea Board Affirms Rapid Stabilization of Ceylon Tea Industry Post-Cyclone Ditwa
    • Invitation for Bids (IFB) - Ceylon Electricity Board Mullikulam Wind Power Transmission Project (MWPTP) Lot A: Construction of the Incomer Side of Mullikulam 220/33kV Collector Grid Substation and Construction of 02 nos of 220kV
      Invitation for Bids (IFB) - Ceylon Electricity Board Mullikulam Wind Power Transmission Project (MWPTP) Lot A: Construction of the Incomer Side of Mullikulam 220/33kV Collector Grid Substation and Construction of 02 nos of 220kV
    • Extension Notice Ceylon Petroleum Storage Terminals Ltd Procurement of Integrity Assessment of 02 No.s 18” DIA. Product Pipelines from SPBM to Muthurajawela Terminal, Sri Lanka – by Inline Inspection Tender Ref. No.: KPR/54/2025
      Extension Notice Ceylon Petroleum Storage Terminals Ltd Procurement of Integrity Assessment of 02 No.s 18” DIA. Product Pipelines from SPBM to Muthurajawela Terminal, Sri Lanka – by Inline Inspection Tender Ref. No.: KPR/54/2025
    • Extension Notice - SriLankan Airlines Ltd
      Extension Notice - SriLankan Airlines Ltd
    • Invitation for Request for Information regarding the Development of Data Centre and Cloud Infrastructure in Sri Lanka
      Invitation for Request for Information regarding the Development of Data Centre and Cloud Infrastructure in Sri Lanka

Sri Lanka Embassy

  • Gaziosmanpaşa, Kırlangıç Sk. No:41, 06700 Çankaya/Ankara
  • slemb.ankara@mfa.gov.lk
  • +90 312 427 10 20 - 25
  • +90 312 427 10 26
  • For emergency calls
    0090 312 427 10 32 / 0090 534 456 94 98 (Mobile)
  • Google Map
© Copyrights 2021 Sri Lanka Embassy in Türkiye All rights reserved.